

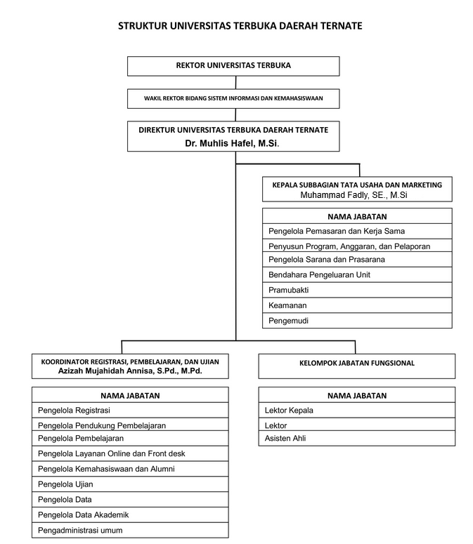
Nama : Dr. Muhlis Hafel, M.Si.
NIP : 196804171995021001
Jabatan : Direktur Universitas Terbuka Daerah Ternate
Fakultas, Prodi : Fakultas : FHISIP, Prodi Ilmu Pemerintahan

Nama :Muhamad Fadly, S.E., M.Si
NIP : 198703012010121003
Jabatan : Kepala Sub Bagian Tata Usaha dan Marketing Universitas Terbuka Daerah Ternate
Fakultas, Prodi : -

Nama : Azizah Mujahidah Annisa, S.Pd., M.Pd.
NIP : 199203082019032015.
Jabatan : Koordinator Registrasi, Pembelajaran, dan Ujian Universitas Terbuka Daerah Ternate
Fakultas, Prodi : FKIP
Pengadministrasi Program, Anggaran, dan Pelaporan : Badariah Reniwuryaan, S.E. Ak
Pengelola Pemasaran dan Kerja Sama : -
Pengelola Sarana dan Prasarana : Agung Bayumurti Wijaya, S.T., M.A.P.
Bendahara Pengeluaran Unit : Evi Mustika Bailussy, S.Hut.
Pengelola Keuangan : Ulfa Siraju, S.Sos.
Pengelola Pendukung Pembelajaran : Wasmi Lasani, S.T.
Pengelola Layanan Online dan Front desk : Ayu Sugiarty Soleman, S.Ikom.
Pengelola Kemahasiswaan dan Alumni : Hijriani M. Nur, S.S.
Pengelola Ujian (Pengadministrasi Ujian) : Ridwan Amin, S.ST.
Pengelola Data (Pengadministrasi Data) : Safitriani Samsudin, S.E.
Pengadministrasi Umum : Ridwan A. Hasan
Lektor : Lisda Ariani Simabur, S.Sos., M.SI.
Lektor : Dr. Dra. Fachria Yamin Marasabessy, M.Pd.